Err 4839035 - UPDATE 1045 - Syntax error: "[" unexpected in config - Contact webmaster: WebdesignVandaag Stamboomkoopmans.nl

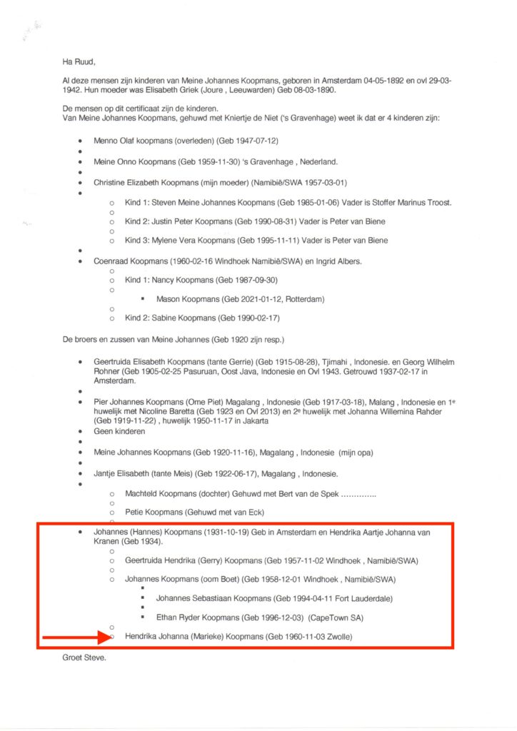
1960-11-03 Hendrika Johanna (Marieke) Koopmans en Kallie Labuschange